提前下达2022年部分中央财政城镇保障性安居工程补助资金预算
扫描到手机,新闻随时看
扫一扫,用手机看文章
更加方便分享给朋友
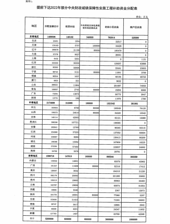
11月17日, 财政部下发通知,提前下达2022年部分中央财政城镇保障性安居工程补助资金预算,合计526亿元。
该项资金待2022年预算年度开始后,按规定程序拨付使用,专项用于城市棚户区改造,向符合条件的在市场租赁住房的保障家庭发放租赁补贴,进行城镇老旧小区改造,以及第二批中央财政支持住房租赁市场发展试点。
关于提前下达2022年部分中央财政城镇保障性安居工程补助资金预算的通知
有关省、自治区、直辖市、计划单列市财政厅(局):
按照预算管理规定,现就提前下达2022年部分中央财政城镇保障性安居工程补助资金预算的有关事宜通知如下:
一、为进一步加快转移支付预算执行进度,提高地方预算编制的完整性,现提前下达你省(自治区、直辖市、计划单列市)2022年部分中央财政城镇保障性安居工程补助资金,项目代码Z135080000028,列2022年政府收支分类科目1100258“住房保障共同财政事权转移支付收入”科目。

二、按照预算管理要求,省级财政部门应当在接到预计数后30日内下达本行政区域县级以上各级财政部门,并做好预算编制、资金安排等相关工作。
三、该项资金使用时,按用途分别填列2022年政府收支分类科目2210103“棚户区改造”、2210107“保障性住房租金补贴”、2210108“老旧小区改造”、2210109“住房租赁市场发展”科目。
四、省级主管部门应于资金下达60日内,按程序将经省级财政部门确认后的区域绩效目标报中央主管部门,同时抄送财政部当地监管局。中央主管部门应于30日内将审核后的区域绩效目标汇总报财政部。
五、请你省(自治区、直辖市、计划单列市)按照《中共中央国务院关于全面实施预算绩效管理的意见》的要求,加强绩效目标管理,做好绩效运行监控和绩效评价,确保财政资金安全有效。
来源:环球网
声明:本文由入驻焦点开放平台的作者撰写,除焦点官方账号外,观点仅代表作者本人,不代表焦点立场。


